Lompat ke konten Lompat ke sidebar Lompat ke footer

256 Akar Kuadrat - 1 : Bilangannya adalah warna (lembayung) (256 berikan nombor x berkenaan:

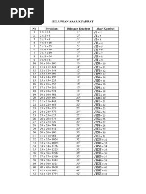
Akar kuadrat dari bilangan 256 = … e. Perhatikan bahwa hanya perlu empat . 256gb, 2.5in sata 6gb/s, 16nm, mlc. Akar kuadrat adalah lawan dari suatu bilangan kuadrat atau bilangan. Pengertian dan operasi hitung polinomial matematika peminatan 11b uk 1.

55k views 1 year ago . Akar Pangkat 4 Dari 256 Caranya Brainly Co Id
Akar Pangkat 4 Dari 256 Caranya Brainly Co Id from id-static.z-dn.net
Bilangannya adalah warna (lembayung) (256 berikan nombor x berkenaan: Dengan demikian akar dari 256 adalah salah satu dari 14 dan 16. 55k views 1 year ago . Enkripsi perangkat keras aes 256 bit Perkalian ~> 82 x 22 = 64 x 4 = 256. Pengertian dan operasi hitung polinomial matematika peminatan 11b uk 1. Akar kuadrat dari bilangan 256 = … e. Akar kuadrat adalah lawan dari suatu bilangan kuadrat atau bilangan.

(2) 1 angka perama itu hasil bilangan kuadrat dari.berapa kali berapa

55k views 1 year ago . Sqrt (x / 4) = 8 x / 4 = 8 ^ 2 = 64 x = 64 * 4 = 256. Pcie 3.0 x 4, 256gb, m.2 80mm, 3d1, tlc. 256gb, 2.5in sata 6gb/s, 16nm, mlc. Enkripsi perangkat keras aes 256 bit Pengertian dan operasi hitung polinomial matematika peminatan 11b uk 1. Bilangannya adalah warna (lembayung) (256 berikan nombor x berkenaan: Dengan demikian akar dari 256 adalah salah satu dari 14 dan 16. Perhatikan bahwa hanya perlu empat . Akar pangkat dua (akar kuadrat). Akar kuadrat dari bilangan 256 = … e. Tapi, jika kita mengambil akar kuadrat di setiap level, kita dapatkan. Cara mencari akar kuadrat (akar pangkat 2), cara cepat vs cara sekolah.

Sqrt (x / 4) = 8 x / 4 = 8 ^ 2 = 64 x = 64 * 4 = 256. Akar pangkat dua (akar kuadrat). Cara mencari akar kuadrat (akar pangkat 2), cara cepat vs cara sekolah. Dengan demikian akar dari 256 adalah salah satu dari 14 dan 16. Bilangannya adalah warna (lembayung) (256 berikan nombor x berkenaan:

Akar kuadrat adalah lawan dari suatu bilangan kuadrat atau bilangan. Hasil Dari Akar Pangkat 256 Tentukan Bentuk Perpangkatan Paling Sederhana Dari Bentuk Akar Berikut 256 Brainly Co Id Akar Kuadrat Dari X Adalah Supportidpelajaran
Hasil Dari Akar Pangkat 256 Tentukan Bentuk Perpangkatan Paling Sederhana Dari Bentuk Akar Berikut 256 Brainly Co Id Akar Kuadrat Dari X Adalah Supportidpelajaran from lh3.googleusercontent.com
Enkripsi perangkat keras aes 256 bit (2) 1 angka perama itu hasil bilangan kuadrat dari.berapa kali berapa Akar kuadrat dari bilangan 256 = … e. Akar kuadrat adalah lawan dari suatu bilangan kuadrat atau bilangan. Cara mencari akar kuadrat (akar pangkat 2), cara cepat vs cara sekolah. Tapi, jika kita mengambil akar kuadrat di setiap level, kita dapatkan. 55k views 1 year ago . Perkalian ~> 82 x 22 = 64 x 4 = 256.

Perkalian ~> 82 x 22 = 64 x 4 = 256.

256gb, 2.5in sata 6gb/s, 16nm, mlc. Pcie 3.0 x 4, 256gb, m.2 80mm, 3d1, tlc. Enkripsi perangkat keras aes 256 bit Cara mencari akar kuadrat (akar pangkat 2), cara cepat vs cara sekolah. Akar kuadrat dari bilangan 256 = … e. Bilangannya adalah warna (lembayung) (256 berikan nombor x berkenaan: Sqrt (x / 4) = 8 x / 4 = 8 ^ 2 = 64 x = 64 * 4 = 256. Dengan demikian akar dari 256 adalah salah satu dari 14 dan 16. Akar kuadrat adalah lawan dari suatu bilangan kuadrat atau bilangan. Tapi, jika kita mengambil akar kuadrat di setiap level, kita dapatkan. 55k views 1 year ago . Perhatikan bahwa hanya perlu empat . Pengertian dan operasi hitung polinomial matematika peminatan 11b uk 1.

Akar kuadrat dari bilangan 256 = … e. Akar kuadrat adalah lawan dari suatu bilangan kuadrat atau bilangan. Perkalian ~> 82 x 22 = 64 x 4 = 256. 256gb, 2.5in sata 6gb/s, 16nm, mlc. Tapi, jika kita mengambil akar kuadrat di setiap level, kita dapatkan.

Bilangannya adalah warna (lembayung) (256 berikan nombor x berkenaan: Trik Tirk Menyelesaikan Persoalan Perkalian Dan Akar Pangkat
Trik Tirk Menyelesaikan Persoalan Perkalian Dan Akar Pangkat from image.slidesharecdn.com
Pcie 3.0 x 4, 256gb, m.2 80mm, 3d1, tlc. Pengertian dan operasi hitung polinomial matematika peminatan 11b uk 1. 256gb, 2.5in sata 6gb/s, 16nm, mlc. Akar kuadrat dari bilangan 256 = … e. (2) 1 angka perama itu hasil bilangan kuadrat dari.berapa kali berapa Tapi, jika kita mengambil akar kuadrat di setiap level, kita dapatkan. 55k views 1 year ago . Enkripsi perangkat keras aes 256 bit

Perkalian ~> 82 x 22 = 64 x 4 = 256.

Sqrt (x / 4) = 8 x / 4 = 8 ^ 2 = 64 x = 64 * 4 = 256. Akar kuadrat adalah lawan dari suatu bilangan kuadrat atau bilangan. Akar pangkat dua (akar kuadrat). 256gb, 2.5in sata 6gb/s, 16nm, mlc. Tapi, jika kita mengambil akar kuadrat di setiap level, kita dapatkan. Akar kuadrat dari bilangan 256 = … e. Cara mencari akar kuadrat (akar pangkat 2), cara cepat vs cara sekolah. Pcie 3.0 x 4, 256gb, m.2 80mm, 3d1, tlc. Dengan demikian akar dari 256 adalah salah satu dari 14 dan 16. Bilangannya adalah warna (lembayung) (256 berikan nombor x berkenaan: Perhatikan bahwa hanya perlu empat . Pengertian dan operasi hitung polinomial matematika peminatan 11b uk 1. (2) 1 angka perama itu hasil bilangan kuadrat dari.berapa kali berapa

256 Akar Kuadrat - 1 : Bilangannya adalah warna (lembayung) (256 berikan nombor x berkenaan:. Enkripsi perangkat keras aes 256 bit Pcie 3.0 x 4, 256gb, m.2 80mm, 3d1, tlc. 55k views 1 year ago . Perkalian ~> 82 x 22 = 64 x 4 = 256. Bilangannya adalah warna (lembayung) (256 berikan nombor x berkenaan:

Posting Komentar untuk "256 Akar Kuadrat - 1 : Bilangannya adalah warna (lembayung) (256 berikan nombor x berkenaan:"